Тема: «Меры вариации. Оценка влияния фактора, положенного в основание группировки».
Компетенции: Студент в результате выполнения лабораторной работы приобретает компетенции:
- в выборе фактора и результата для исходных данных
- в расчёте различных мер вариации, необходимых для оценки влияния признаков друг на друга;
- в оценке полученных результатов;
- графической иллюстрации полученных результатов.
Цель работы: Усвоить приемы расчёта размаха и средней величины отклонений вариационных рядов с использованием возможностей приложения Microsoft Excel 7.0, оценки вариации данных характеристик, однородности совокупности исходных данных, оценка влияния фактора на вариацию результативного признака.
Краткая теория:
Конкретные условия, в которых находится каждый из изучаемых объектов, а также особенности их собственного развития (социальные, экономические и пр.) выражаются соответствующими числовыми уровнями статистических показателей. Таким образом, вариация, т.е. несовпадение уровней одного и того же показателя у разных объектов, имеет объективный характер и помогает познать сущность изучаемого явления. Для измерения вариации в статистике используются абсолютные и относительные показатели.
Меры вариации позволяют оценить размеры вариации признака и их отличие от средней величины, оценить две характеристики масштабов и направления влияния признака, положенного в основание группировки – группировочного, оценить однородность совокупности исходных данных на основе специального показателя.
Характеристикой, которая дает обобщенную характеристику ряда и гасит случайные отклонения значений признака, является средняя. Вокруг значения средней величины происходят колебания признака, для обобщения этих колебаний применяется средняя величина этих отклонений. Для описания вариации и колеблемости признака вокруг средней величины в статистике применяются следующие величины: размах (колеблемость) признака, среднее линейное отклонение, среднее квадратическое отклонение.
Наиболее простым является расчет показателя размаха вариации:
наиболее простой измеритель вариации признака, но размах не отражает изменения признака внутри интервала [xmin; xmax], так как показывает лишь крайние значения признака. Повторяемость промежуточных значений здесь не учитывается.
(6.1)
Среднее линейное отклонение (d) представляет собой среднюю арифметическую абсолютных значений отклонений отдельных значений признака (вариант) от их средней величины.
СРЕДНЕЕ ЛИНЕЙНОЕ ОТКЛОНЕНИЕ ДЛЯ АРИФМЕТИЧЕСКОЙ ПРОСТОЙ:
(6.2)
при исчислении средней величины по формуле простой средней арифметической
СРЕДНЕЕ ЛИНЕЙНОЕ ОТКЛОНЕНИЕ ДЛЯ АРИФМЕТИЧЕСКОЙ ВЗВЕШЕННОЙ:
(6.3)
при исчислении средней величины признака по формуле средней арифметической взвешенной.
При достаточно большом размахе величина линейного отклонения достигает или превышает среднее значение признака. При различии максимального и минимального значения признака на порядок или более, эта характеристика не описывает характер вариации и для такого описания применяют среднее квадратическое отклонение, которое является корнем второй степени из дисперсии.
Дисперсия представляет собой средний квадрат отклонений отдельных значений признака (вариантов) от их средней величины. С дисперсией связана характеристика, называемая среднее квадратическое отклонение, которая показывает на сколько в среднем отклоняются конкретные значения признака (варианты) от их средней величины.
СРЕДНЕЕ КВАДРАТИЧЕСКОЕ ОТКЛОНЕНИЕ ДЛЯ НЕ СГРУППИРОВАННЫХ ДАННЫХ:
(6.4)
средний квадрат отклонений от средней или дисперсия, которая описывает структуру совокупности.
(6.5)
среднее квадратическое отклонение от средней величины признака.
СРЕДНЕЕ КВАДРАТИЧЕСКОЕ ОТКЛОНЕНИЕ ДЛЯ СГРУППИРОВАННЫХ ДАННЫХ:
(6.6)
дисперсия для сгруппированных данных.
(6.7)
среднее квадратическое отклонение от средней величины для сгруппированных данных.
Такие характеристики вариации признака, как средняя величина и среднее квадратическое отклонение для интервальных рядов с равными интервалами могут быть рассчитаны по способу моментов:
СРЕДНЕЕ ЗНАЧЕНИЕ ИЗУЧАЕМОГО ПРИЗНАКА ПО СПОСОБУ МОМЕНТОВ:
(6.8)
СРЕДНИЙ КВАДРАТ ОТКЛОНЕНИЙ ПО СПОСОБУ МОМЕНТОВ:
(6.9)
где А - условный нуль, равный варианте с максимальной частотой, h- шаг интервала,
(6.10)
КОЭФФИЦИЕНТ ВАРИАЦИИ:
(6.11)
Величина коэффициента вариации говорит об однородности изучаемой совокупности, так, если вариация меньше либо равняется 33%, то совокупность считается однородной, в противном случае следует либо сгруппировать, либо перегруппировать данные.
Для выполнения оценки влияния вариации фактора, положенного в основании группировки, на вариацию результативного признака (результата) используется правило сложения дисперсий, в котором отражена общая вариация под влиянием всех фактором на базе общей дисперсии:
. (6.12)
Систематическая вариация результата под влиянием признака-фактора, положенного в основание группировки оценивается на базе межгрупповой дисперсии:
. (6.13)
Вариация под влиянием неучтенных факторов оценивается на базе средней из внутригрупповых дисперсий: средняя из внутригрупповых:
(6.14)
где
- внутригрупповая дисперсия показывает вариацию внутри группы и рассчитывается:
. (6.15)
Правило сложения дисперсий:
(6.16).
Рассчитывается эмпирическое корреляционное отношение:
(6.17),
которое показывает по шкале Чеддока силу связи между фактором и результатом, знак перед корнем показывает направление связи.
Таблица 6.1
![]() | До 0,3 | 0,3-0,5 | 0,5-0,7 | 0,7-0,9 | 0,9-0,99 |
| сила связи | слабая | умеренная | заметная | сильная | очень сильная |
Из таблицы 6.1 видно, что
. Тесноту связи между признаками показывает эмпирический коэффициент детерминации
, выраженный в процентах.
Пример решения и оформления типовой задачи:
Данные о результатах сессии студентов одной из специальностей университета
Таблица 6.2
1. Произвести сложную группировку по показателям «пол» и «средний балл»;
2. Оценить влияние фактора «пол» на средний балл сессии: силу и тесноту связи;
3. Оценить однородность совокупности;
4. Сделать выводы по результатам расчётов.
Таблица 6.3
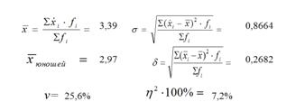
Для построения группировки используем функции Excel (настраиваемая сортировка по факторному признаку, затем по результативному и т.д.). Дополним эту таблицу необходимыми графами для расчёта показателей вариации общей, межгрупповой и средней из внутригрупповых дисперсий, рассчитав предварительно среднее значение признака, в данном случае средний балл по всей совокупности и в группах. Следует обратить внимание на то, что результат суммирования численности групп 80 студентов – элемент проверки правильности подсчётов. На основе выполненных расчётов можно сделать такие выводы: оценка за экзамен практически не зависит от того, кто сдаёт девушка или юноша (по шкале Чеддока эмпирическое корреляционное отношение менее 0,3) коэффициент детерминации демонстрирует, что только 7,2% оценок зависит от пола студента.
Еще по теме Тема: «Меры вариации. Оценка влияния фактора, положенного в основание группировки».:
- Оценка влияния факторов на хозяйственный эффект предприятия
- Оценка влияния факторов изменения затрат на предприятии, производящем продукцию
- Тема 5. Роль внешних факторов и их влияние на эффективную деятельность юриста
- Тема: «Сводка и группировка. Вариационные ряды».
- Измерение как познание и оценка меры
- Факторы, оказывающие влияние на выбор стратегии
- 7.3. Учет влияния инфляции на оценку инвестиционных проектов
- Трансформация влияний негативных факторов в неплатежеспособность хозяйствующего субъекта
- 2.3. Методы оценки отдельных статей и их влияние на достоверность бухгалтерского баланса
- 2. Факторы, оказывающие влияние на успешность осмотра места происшествия
- Факторы анализа и критерии оценки
- сознание формируется не только под влиянием одних природных факторов, но и социальных.
- Выбор оснований оценки
- Глава 2. Экономическое и политическое сознание как факторы влияния на среду формирования правосознания
- ОЦЕНКА ПОЛОЖЕНИЯ B CCCP ЗАПАДНЫМИ ДЕРЖАВАМИ
- Лекция 12 Тема: РЫНОК ФАКТОРОВ ПРОИЗВОДСТВА ЦЕНООБРАЗОВАНИЕ И ДОХОДЫ ОТ ФАКТОРОВ ПРОИЗВОДСТВА
- 4.6.2. Отечественная война 1812 г.; ее влияние на международное и внутреннее положение России. Декабристы
- Нравственная оценка экономики : основные положения
- Тема 2. Меры по предупреждению банкротства в кредитных организациях
