3. Задачи на проценты, концентрацию, части и доли
В задачах на проценты необходимо показать умение находить процентное содержание компонентов в сплавах, смесях, рассчитывать сложные проценты, начисляемые несколько раз.
Сложные проценты.
Пусть некоторая величина А увеличивается в n раз и каждый раз на P%.
Тогда ее значение А1 после первого увеличения находится по формуле
……
(1)
Пусть некоторая величина А увеличивается nраз последовательно на
.
Тогда ее окончательное значение:

(2)
Это формулы сложных процентов.
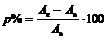
Пусть
– начальное, а
– конечное значение некоторой величины.
Тогда процентный прирост р% этой величины находится по формуле
(3)
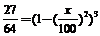
Задача 12. Сбербанк начисляет ежегодно 3% от суммы вклада. Через сколько лет сумма вклада удвоится?
Решение. Пусть x – искомое число лет,
А – первоначальная сумма,
2А – удвоенная сумма,
Тогда по формуле (1) получаем:
;
;
;
.
Ответ. Около 23 лет.
Задача 13. Число 51,2 трижды увеличивали на одно и то же число процентов, а затем трижды уменьшали на то же самое число процентов. В результате получилось число 21,6. На сколько процентов увеличивали, а затем уменьшали это число?
Решение. Пусть x – искомое число. Тогда по формуле (2) имеем:
| 21,6 = 51,2 · (1 + | х | ) | (1 – | х | ) |
| 100 | 100 |
;
;
;
x = 50.
Ответ. 50%.
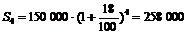
Задача 14. Вкладчик открыл в банке счет и положил на него S0 = 150 000руб. сроком на 4 года по ставке 18% в год. Какой будет сумма S4, которую вкладчик получит при закрытии вклада? На сколько рублей вырастет вклад за 4 года? Чему равен коэффициент наращивания?
Решение. S0 = 150000 рублей, р = 18, n = 4.
По формуле (1) имеем:
;
За 4 года вклад увеличится на 108 000 рублей = 258 000 руб. – 150 000 руб.
Коэффициент наращивания равен:
, т.е. первоначальный вклад увеличится в 1,72 раза.
Ответ. 1,72 раза.
Задача 15. Какую сумму положили в банк под 22% годовых, если через 5 лет вклад достиг величины S5 = 94500 рублей?
Решение. По условию р = 22, n = 5, S5 = 94500
;
;
;
рублей;
Ответ. Первоначальная сумма вклада была 34965 рублей.
Рассмотрим несколько задач из раздела «Сплавы, смеси».
Задача 16. Сплав меди и цинка весом 20кг содержит 30% меди. Добавили 22кг цинка. Сколько нужно добавить меди, чтобы в сплаве стало 60% цинка.
Решение. I способ:
30% 70%
20 кг = 6 кг + 14 кг
Cu Zn
Добавили цинка (+22 кг):
42кг = 6 кг + 36 кг
Cu Zn
100% = 40% + 60%
36кг составляет 60%.
36: 0,6 = 60кг – новый сплав.
60(кг) = 6(кг) + 36(кг) + x(кг)
Cu Zn
х = 18 (кг).
II способ (табличный):
Очень удобно в задачах на сплавы, смеси, концентрации составлять таблицу по условию задачи (жирным шрифтом), а затем заполнять пустые клетки, руководствуясь законом сохранения массы(объема) и формулами расчета «Процент от числа».
Для начала нужно определить количество объектов, которые участвуют в условии задачи (в нашем случае их 4), затем занести в таблицу все, что говорится о каждом объекте.
По вопросу задачи вводится переменная. Пусть x кг – масса меди.
| Объекты | I | Добавили цинка | Добавили меди | Получили сплав |
| масса (кг) | 20 | 22 | x | 20 + 22 + x |
| % меди | 30 | 100 | ||
| % цинка | 100 | 60 | ||
| масса меди (кг) | ||||
| масса цинка (кг) |
Теперь начинаем заполнение пустых клеток:
| Объекты | I | Добавили цинка | Добавили меди | Получили сплав | ||||||||||||
| масса (кг) | 20 | 22 | x | 20 + 22 + x = 42 + x | ||||||||||||
| % меди | 30 | 0 | 100 | 100 – 60 = 40 | ||||||||||||
| % цинка | 100 – 30 = 70 | 100 | 0 | 60 | ||||||||||||
| масса меди (кг) |
| 0 | x |
| ||||||||||||
| масса цинка (кг) |
| 100 | 0 |
Нам, в принципе, достаточно заполнения четырех строк, чтобы составить уравнение.
Обратим внимание на «выделенную» клетку – эта клетка является ключом составления уравнения задачи, т.к. мы ее можем заполнить по формуле «40% от числа 42 + x», а также по закону сохранения массы: (20·30)/100 + 0 + x.
Следовательно, имеем уравнение:
| 40 (42 + х) | = | 20·30 | + 0 + х |
| 100 | 100 |
4(42 + х) = 60 + 10х
6х = 108
х = 18
Ответ. 18.
Задача 17. Из 50т руды получают 20т металла, который содержит 12% примесей. Сколько процентов примесей содержит руда?
Решение. 1) Сколько примесей содержится в металле?
20·0,12 = 2,4(т)
2) 50т = 20т + 30т = (17,6 + 2,4) + 30 = 17,6 + (2,4 + 30)
металл примеси металл примеси чистый примеси
металл
составим пропорцию:
3) 50 т – 100%
32,4 т – x%
Составляем пропорцию:
| 50 | = | 100 | Отсюда x = 64,8% |
| 32,4 | х |
Табличный способ: По первому предложению составляем таблицу
| Объект | I | II | Смесь | ||||||||||||||||||||
| m (кг) | x | 3 | 3 + x | ||||||||||||||||||||
| % серебра | p | 100 | 90 | ||||||||||||||||||||
| mсеребра (кг) |
|
|
|
По второму предложению составляем таблицу
| Объект | I | II | Смесь | ||||||||||||
| m (кг) | x | 2 | 2 + x | ||||||||||||
| % серебра | p | 100 | 86 | ||||||||||||
| mсеребра (кг) |
|
|
|
В результате в «выделенных» клетках имеем уравнения для системы:
Тогда
Ответ: 0,5 кг; 30% серебра.
Задача 18. Сплав меди и цинка весом 60 кг содержит 40% меди. Сколько нужно добавить цинка, чтобы в сплаве его концентрация достигла 80%.
Решение.
| Объект | I | II | Получили | |||||||||
| m (кг) | 60 | x | 60 + x | |||||||||
| % цинка | 100 – 40 = 60 | 100 | 80 | |||||||||
| mцинка (кг) |
| x |
|
Имеем: (60 + x)·0,8 = 36 + x
48 + 0,8x = 36 + x
x = 60 кг цинка нужно добавить.
Ответ. 60 килограммов.
Задача 19. К 15 литрам 10%-ого раствора соли добавили 5%-ный раствор соли и получили 8%-ный раствор. Какое количество литров 5%-ного раствора добавили?
Решение. Пусть добавили х л 5%-ного раствора соли.
(15 + х)л – столько стало нового раствора
(15 + х)· 0,08л – столько в нем содержится соли
В 15 литрах 10%-ного раствора содержится
15·0,1 = 1,5(л) соли
В х л 5%-ного раствора содержится 0,05 х л соли
х = 10. Добавили 10л 5%-ного раствора соли.
Табличный способ:
| Объект | I | II | Получили | ||||||||||||||||||||
| m (л) | 15 | х | 15 + х | ||||||||||||||||||||
| % соли | 10 | 5 | 8 | ||||||||||||||||||||
| mсоли (л) |
|
|
|
Имеем:
8(15 + х) = 150 + 5х
3х = 30
х = 10
Ответ. 10 литров.
В некоторых случаях можно применить правило смешения растворов с заданными концентрациями (диагональную модель «конверта Пирсона», или, что то же самое, правило креста).
Допустим, нужно приготовить раствор определенной концентрации, имея в распоряжении два раствора с более высокой и менее высокой концентрацией, чем нужно нам. Обозначим: 1). Массу первого раствора через m1, а второго – через m2, то при смешивании общая масса смеси будет слагаться из суммы этих масс.
2). Пусть массовая доля растворенного вещества в первом растворе – ω1, во втором – ω2, а в их смеси – ω3.
3). Тогда общая масса растворенного вещества в смеси будет слагаться из масс растворенного вещества в исходных растворах:
m1· ω1 + m2· ω 2 = ω 3(m1 + m2).
Отсюда m1(ω1 – ω 3) = m2(ω 3 – ω 2),
| m1 | = | ω 3 – ω 2 |
| m2 | ω1 – ω 3 |
Видно, что отношение массы первого раствора к массе второго раствора есть отношение разности массовых долей растворенного вещества в смеси и во втором растворе к разности соответствующих величин в первом растворе и в смеси.
При решении задач на растворы с разными концентрациями чаще всего применяют диагональную схему правила смешении. При расчетах записывают одну над другой массовые доли растворенного вещества в исходных растворах, справа между ними – его массовую долю в растворе, который нужно приготовить, и вычитают по диагонали из большего меньшее значение. Разности их вычитаний показывают массовые доли для первого и второго растворов, необходимые для приготовления нужного раствора.
Для пояснения этого правила сначала решим простейшую задачу.
Задача 20. Определите концентрацию раствора, полученного при слиянии 150 г 30%-го и 250 г 10%-го растворов какой-либо соли.
Дано: m1 = 150 г, m2 = 250 г,
ω 1 = 30%, ω 2 = 10%.
Найти: ω 3.
Решение. 1-й способ (метод пропорций).
Общая масса раствора: m3 = m1 + m2 = 150 + 250 = 400 г.
Массу вещества в первом растворе находим методом пропорций, исходя из определения: процентная концентрация раствора показывает, сколько граммов растворенного вещества находится в 100 г раствора:
100 г 30%-го р-ра – 30 г в-ва,
150 г 30%-го р-ра – х г в-ва,
| х = | 150 · 30 | = 45 г. |
| 100 |
Для второго раствора составляем аналогичную пропорцию:
100 г 10%-го р-ра – 10 г в-ва,
250 г 10%-го р-ра – y г в-ва,
| у = | 250 · 10 | = 25 г. |
| 100 |
Следовательно, 400 г нового раствора содержит 45 + 25 = 70 г растворенного вещества.
Теперь можно определить концентрацию нового раствора:
400 г р-ра – 70 г в-ва,
100 г р-ра – z г в-ва,
| z = | 100 · 70 | = 17,5 г. |
| 400 |
2-й способ (алгебраический).
m1· ω 1 + m2· ω 2 = ω 3(m1 + m2).
| Отсюда ω 3 = | m1· ω 1 + m2· ω 2 | ||||
| m1 + m2 | |||||
| В результате находим: ω 3 = | 150·30 + 250·10 | = 17,5%. | |||
| 150 + 250 | |||||
3-й способ (правило креста).
| ω 3 = | ω 3 – 10 | = | 150 |
| 30 – ω 3 | 250 |
Тогда (30 – ω 3)·150 = (ω 3 – 10)·250,
4500 – 150 ω 3 = 250 ω 3 – 2500,
4500 – 2500 = 250 ω 3 – 150 ω 3,
7000 = 400 ω3,
| ω 3 = | 7000 | = 17,5%. |
| 400 |
Ответ. 17,5%.
Теперь решим задачи посложнее.
Задача 21. Определите, сколько нужно взять 10%-го раствора соли и 30%-го раствора этой же соли для приготовления 500 г 20%-го раствора.
Дано: ω 1 = 10%, ω 2 = 30%, ω 3 = 20%,
m3 = 500 г.
Найти: m1, m2.
Решение. Используем правило креста.
Для приготовления 500 г 20%-го раствора соли нужно взять по 10 частей растворов исходных концентраций.
Проверим правильность нашего решения, учитывая, что 1 часть равна 500/(10 + 10) = 25 г.
250 г 10%-го р-ра – х г соли,
100 г 10%-го р-ра – 10 г соли,
| х = | 250·10 | = 25 г. |
| 100 |
250 г 30%-го р-ра – y г соли,
100 г 30%-го р-ра – 30 г соли,
| y = | 250·30 | = 75 г. |
| 100 |
m(р-ра) = 250 + 250 = 500 г.
m(соли) = 25 + 75 = 100 г.
Отсюда находим ω 3: 500 г р-ра – 100 г соли,
100 г р-ра – ω 3 г соли,
| ω 3 = | 100·100 | = 20г, или 20% |
| 500 |
Ответ. m1 = 250 г, m2 = 250 г.
Задача 22. Определите, сколько нужно взять растворов соли 60%-й и 10%-й концентраций для приготовления 300 г раствора 25%-й концентрации.
Дано: ω 1 = 60%, ω 2 = 10%, ω 3 = 25%, ω 3 = 300 г.
Найти: m1, m2.
Решение.
| Масса одной части: х = | 300 | = 6 г. |
| 50 |
Тогда m1 = 6·15 = 90 г, m2 = 6·35 = 210 г.
Проверим правильность решения.
100 г 60%-го р-ра – 60 г соли,
90 г 60%-го р-ра – х г соли,
х = 54 г.
100 г 10%-го р-ра – 10 г соли,
210 г 30%-го р-ра – y г соли,
y = 21 г.
m(соли) = 54 + 21 = 75 г.
Находим концентрацию нового раствора:
300 г р-ра – 75 г соли,
100 г р-ра – z г соли,
| z = | 100 · 75 | = 25 г. или 25% |
| 50 |
Ответ. m1 = 90 г, m2 = 210 г.
Задача 23
В лаборатории есть раствор соли 4-х различных концентраций. Если смешать I, II, III растворы в весовом отношении 3:2:1, то получится 15%-ный раствор. II, III, IV растворы в равной пропорции дают при смешивании 24%-ный раствор, и, наконец, раствор составленный из равных частей I и III растворов, имеет концентрацию 10%. Какая концентрация будет при смешении II и IV растворов в пропорции 2:1?
Решение.
1) Пусть в 1 кг I р-ра – х кг соли
II р-ра – y кг соли
III р-ра – z кг соли
IV р-ра – t кг соли
2) В условии говорится, что если мы смешаем 3кг I раствора, 2кг II раствора и 1кг III раствора, то в получившихся 6кг р-ра будет 6·0,15 = 0,9кг соли.
Но в 3-х кг I р-ра имеется (3х)кг соли, в 2кг II р-ра ее (2y)кг и в одном кг III р-ра – z кг.
Отсюда получается первое уравнение 3x + 2y + z = 0,9
3) Рассуждая аналогично, получим, что
y + z + t = 0,72
x + z = 0,2
Т.е. получим систему:
Из этой системы нам нужно вычленить 2y + t.
Значит, если смешать 2 кг второго раствора и 1кг четвертого, то в получившихся 3 кг смеси будет 0,87 кг соли, что составляет 29%, что и требовалось найти.
3 кг – 100%
0,87 кг – x%
| 3 | = | 100 |
| 0,87 | х |
x = 29%.
Ответ. 29%
Задача 24
Даны два сплава. Первый весит 4 кг и содержит 70% серебра. Второй весит 3 кг и содержит 90% серебра. Сколько кг второго сплава надо сплавить со всем первым сплавом, чтобы получить r %-ный сплав серебра? При каких r задача имеет решение?
Решение.
В первом сплаве – 2,8 кг серебра. Пусть надо взять x (кг) второго сплава, чтобы сплавив его со всем первым сплавом, получить такой сплав, как требуется. Весь сплав будет весить (x+ 4) кг. Серебра в нем будет (2,8 + 0,9x) кг.
По условию
(x + 4) кг – 100%
2,8 + 0,9x – r%, откуда
. Задача имеет решение тогда и только тогда, когда
(только в таких пределах можно что-либо взять из куска весом в 3кг), т.е.
, откуда
.
Ответ.
, задача имеет решение при
.
В задачах на прогрессии необходимо грамотно использовать формулы n-го члена арифметической прогрессии, а также суммы n первых членов прогрессии.
Задача 25
Турист идет из одного города в другой, каждый день, проходя больше, чем в предыдущий день, на одно и то же расстояние. Известно, что за первый день турист прошел 10 километров. Определите, сколько километров прошел турист за третий день, если весь путь он прошел за 6 дней, а расстояние между городами составляет 120 километров.
Решение.
В первый день турист a1 = 10км, во второй – а2, …, в последний а6 км. Всего он прошел Sn = 120 км. Каждый день турист проходил больше, чем в предыдущий, на d км,
| Sn | = | 2 a1 + d(n – 1) | ? n |
| 2 |
n = 6 дней. Таким образом,
| S6 | = | 2·10 + 3d | ? 6 |
| 2 |
120 = (20 + 3d) ·3
d = 4
а3 = а1 + 2 d
а3 = 10 + 2·4 = 18 (км)
Ответ. 18
Задача 26
Улитка ползет от одного дерева до другого. Каждый день она проползает на одно и то же расстояние больше, чем в предыдущий день. Известно, что за первый и последний дни улитка проползла в общей сложности 10 метров. Определите, сколько дней улитка потратила на весь путь, если расстояние между деревьями равно 150 метрам.
Решение.
Пусть улитка проползла в первый день a1 метров, во второй – а2, …, в последний – аn м.. Тогда a1 + а2 = 10 м, а за n дней проползла:
| Sn | = | a1 + а2 | · n | = | 5n метров |
| 2 |
Поскольку всего она проползла 150 метров, имеем: 5n = 150
n = 30
Таким образом, улитка потратила на весь путь 30 дней.
Ответ. 30
Еще по теме 3. Задачи на проценты, концентрацию, части и доли:
- Основные задачи на проценты:
- 6.Используя формулу сложных процентов, определите сумму депозитного вклада в размере 100 млн. руб. через 2 года при полугодовом начислении процентов. Годовая ставка — 60%:
- Процент, норма процента
- Концентрация
- Вопрос 25. Каким образом осуществляется передача доли в складочном капитале полного товарищества?
- Тема: «Построение доверительного интервала для генеральной средней и доли»
- V Фазы концентрации: интеллектуальная, ' эмоциональная, духовная
- Концентрация власти
- Зачем нужно утверждать доли каждого собственника на общее имущество в доме?
- Обмен требований кредиторов на акции и доли участия
- Аритмогенные эффекты высокой концентрации ионов калия
- Эффекты, обусловленные нестабильностью состояния при быстрых изменениях концентрации калия
- КОНЦЕНТРАЦИЯ ЗЕМЛИ И РАБОВ У КРУПНЫХ ВЛАДЕЛЬЦЕВ. МАССОВЫЕ НИЩЕТА И ГОЛОД НАСЕЛЕНИЯ
- 3. Ссудный процент
- 9.3. Ссудный процент
- 7.3. Теории процента
- Концентрация финансово-сбытовых потоков через собственную территориальную сеть
- Одна из причин деформации картины мира связана с излишней концентрацией внимания на результате