Критерии оценивания заданий с развернутым ответом.
Содержание критерия
В процессе решения логарифмических неравенств часто используются следующие утверждения относительно равносильности неравенств и учитываются свойства монотонности логарифмической функции.
Утверждение 1. Если a > 1, то неравенство loga f(x) > loga g(x) равносильно системе неравенств
![]() | f(x) > g(x), |
| g(x) > 0. |
Утверждение 2. Если 0 < a < 1, то неравенство loga f(x) > loga g(x) равносильно системе неравенств
![]() | f(x) < g(x), |
| f(x) > 0. |
Утверждение 3. Неравенство logh(x)f(x) > logh(x)g(x) равносильно совокупности систем неравенств
![]() | ![]() | h(x) > 1, |
| f(x) > g(x) > 0, | ||
![]() | 0 < h(x) < 1, | |
| 0 < f(x) < g(x). |
Подчеркнем, что в неравенстве loga f(x) > loga g(x) вместо знака > может фигурировать любой из знаков ≥, 0,


Ответ. x Î (-8;-2]È[4;+¥).
Задача 2. Решить неравенство:
Решение.
Основание логарифма число между нулем и единицей, поэтому, используя утверждение 2, получим:
Ответ.
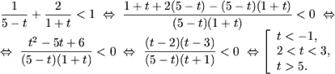
x Î (2; 3)È(4; 5).Задача 3. Решить неравенство:
Решение.
Запишем 0 = log21 и, используя утверждение 1, получим
Запишем
и, используя утверждение 2, получим
Ответ. x Î (1; 2)
Задача 4. Решить неравенство:
Решение.
Используя утверждение 3, получим
| Û | ![]() | x Î (3;4), | Û x Î (3;4). |
| x Î ?, |
Решение первой системы совокупности:
Решение второй системы совокупности:
Ответ. Решений нет.
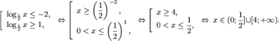
Неравенства вида F(logax) > 0 сводятся подстановкой t = logax к алгебраическому неравенству F(t) > 0.
Задача 5. Решить неравенства:
Решение.
a) Обозначив
, получим квадратное неравенство t2 + t – 2 ≥ 0, откуда t ≤ -2 или t ≥ 1. Таким образом,
b) Обозначив t = lgx, получим рациональное неравенство
.
Используя метод интервалов, получим
Следовательно,
![]() | lgx < -1, | ![]() | 0 < x < 1/10, | ||
| 2 < lgx < 3, | Û | 100 < x < 1000, | Û x Î (0;1/10)È(100;1000)È(105;+¥). | ||
| lgx > 5, | x > 105, |
В случае логарифмических неравенств, которые не имеют вид неравенств, входящих в утверждения 1-3, определяется ОДЗ и с помощью равносильных преобразований исходные неравенства сводятся к неравенствам, которые решаются с помощью утверждений 1-3.
Задача 6. Решить неравенства
Решение.
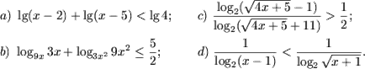
a) ОДЗ неравенства – множество (5; +¥). Используя свойство суммы логарифмов, получим неравенство
lg(x – 2)(x – 5) < lg4.
Используя утверждение 1, получим
![]() | (x – 2)(x – 5) < 4, |
| (x – 2)(x – 5) > 0. |
Решаем систему
![]() | x2 – 7x + 6 < 0, | ![]() | 1 < x < 6, | ||||
![]() | x < 2, | Û | ![]() | x < 2, | Û x Î (1;2)È(5;6) | ||
| x > 5, | x > 5, |
и, учитывая ОДЗ, получим x Î (5;6).
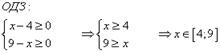
e) Определим ОДЗ неравенства
Приведя все логарифмы к основанию 3, получим
Используя свойство суммы логарифмов, получим
Обозначив log3x = t, решим полученное неравенство методом интервалов
Следовательно,
откуда, учитывая ОДЗ, получим множество решений исходного неравенства:
Ответ.
c) Определим ОДЗ неравенства
Поскольку
,
неравенство равносильно следующему:
откуда следует
Обозначив
t ≥ 0, получим квадратное неравенство
(t – 1)2 > t + 11,
t2 – 3t – 10 > 0,
откуда t < -2 или t > 5.
Поскольку t ≥ 0, остается t > 5 или
Û x > 5.
Учитывая ОДЗ, получим x Î (5;+¥).
Ответ. x Î (5;+¥).
ОДЗ неравенства есть множество (1;2)È(2;+¥).
Используя обобщенный метод интервалов, получим
Так как в ОДЗ log2(x-1) > 0 при x > 2 и log2(x-1) < 0 при 1 < x < 2, следует, что
для любого x из ОДЗ,
при x Î (1;2)È(2;3) и
при x > 3,
значит,
получим x Î (1;2)È(3;+¥).
Ответ. x Î (1;2)È(3;+¥).
Задача 7. Решите неравенство:
Решение.
| ОДЗ:
| ![]() | ![]() | ![]() |
Найдем, при каких x выражение обращается в 0.
![]() | ![]() | ![]() |
Ответ: x = -1/3
Стандартный метод решения иррациональных неравенств заключается в возведении обеих частей неравенства в нужную степень: если в неравенство входит квадратный корень, то в квадрат; входит корень третьей степени − в куб и т.д. Однако возводить в квадрат, не нарушая равносильности, можно только неравенство, у которого обе части неотрицательны. При возведении же в квадрат неравенств, части которых имеют разные знаки, могут получиться неравенства, как равносильные исходному, так и неравносильные ему.
Простой пример: –1 < 3 − верное неравенство,
(-1)? < 3?
1< 9 − тоже верное неравенство.
Несмотря на то, что – 4 < –1 − неравенство верное, неравенство
(-4)? < (-1)?
16 < 1 уже верным не является.
Покажем, как получить равносильные системы для некоторых часто встречающихся типов неравенств.
I. Неравенства вида √f (x) < g (x)
Если x лежит в ОДЗ: f (x) ≥ 0, то левая часть неравенства существует и неотрицательна. Поскольку для всех x, являющихся решением данного неравенства, правая часть больше левой, то g (x) > 0. Следовательно, обе части неравенства неотрицательны (для тех x, которые являются решениями неравенства, другие x нас не интересуют). Значит, возведение в квадрат не нарушает равносильности и можно записать равносильную нашему неравенству систему неравенств:
Задача 8.
Решите неравенство
Решение.
Сразу перейдём к равносильной системе
Ответ. x Î (-2; 0)È(6;+¥).
II. Неравенства вида
ОДЗ данного неравенства f (x) ≥ 0. Пусть для каких-то x из ОДЗ g (x) < 0. Тогда, очевидно, все эти x − решения, так как при этих x левая часть определена (xÎ ОДЗ) и неотрицательна, в то время как правая часть g (x) < 0.
Для других x из ОДЗ g(x) ≥ 0. Для них обе части неравенства неотрицательны, и его можно возвести в квадрат: f (x) > g? (x) Значит, данное неравенство равносильно совокупности неравенств:
Заметим, что в последнюю систему не входит требование f (x) ≥ 0. Оно и не нужно, так как выполняется автоматически: f (x) > g? (x) ≥ 0, ибо полный квадрат всегда неотрицателен.
Задача 9. Решите неравенство
Решение.
ОДЗ неравенства: x ≥ –3.
Если х + 1 < 0, то х < -1; все эти х Î ОДЗ.
Таким образом, х Î [-3; -1) − первая часть ответа.
Если х + 1 ≥ 0, то х ≥ -1то обе части неравенства неотрицательны, и его можно возвести в квадрат. Имеем:
Получаем, что решениями являются все х Î [-1; 1).
Объединяя результаты, получаем:
Ответ. х Î [-3; 1)
III. Неравенства вида
ОДЗ данного неравенства:
Обе части неравенства неотрицательны в ОДЗ, и потому можно возводить в квадрат. Получим равносильную систему:
Заметим, что из неравенства f (x) ≥ g (x) ≥ 0 следует, что g (x) ≥ 0 то есть дополнительно это требовать и включать это неравенство в систему не нужно.
Отметим полезное следствие.
Предположим, что ОДЗ неравенства уже найдено, и мы будем отбирать решения только из ОДЗ (это разумно, поскольку вне ОДЗ решений нет). Тогда исходное неравенство равносильно следующему:
а та система, которой это неравенство равносильно, может быть представлена (для x из ОДЗ) в виде f (x) — g (x) ≤ 0. Следовательно, в ОДЗ
Ясно, что те же рассуждения применимы и для знака неравенства ≥. Отсюда можно сделать полезное заключение:
Знак разности
совпадает со знаком выражения
.
Отсюда же получается ещё одно полезное следствие:
в ОДЗ:
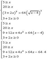
Задача 10. Решите неравенство
Решение.
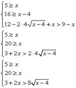
ОДЗ данного неравенства:
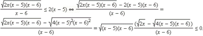
Заметим, что в ОДЗ x ≥ 0, поэтому существует √2х и значит,
Мы воспользовались здесь тем, что в ОДЗ x ≥ 0, (x – 5)(x – 6) ≥ 0 и потому существуют выписанные в последней строчке корни.
Кроме того, мы вынесли за скобку
который по вышесказанному существует.
Этот корень неотрицателен и потому не влияет на знак неравенства, следовательно, на него можно сократить, не забывая, что он может ещё обратиться в нуль и те x, для которых корень обращается в нуль, являются решениями неравенства.
Таким образом, в ответ необходимо включить число x=5.
При x = 6 корень
обращается в ноль, но x = 6 не входит в ОДЗ неравенства. Воспользуемся теперь тем, что знак разности корней совпадает со знаком разности подкоренных выражений. Имеем:
Учтём теперь ОДЗ и получим:
Ответ.
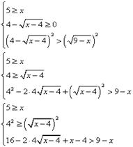
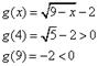
Рассмотрим пример решения иррационального неравенства, содержащего модуль.
Задача 12. Решить неравенство:
Решение.
Рассмотрим
на ОДЗ
получаем промежуток значений функции
Видно, что
Аналогично, рассмотрим функцию
т.е. функция может быть как больше, так и меньше нуля. Итак, раскрываем модуль в левой части со знаком минус
Вспоминаем формулу раскрытия модуля.
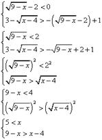
Рассмотрим правое неравенство.
Это неравенство вида
решается с помощью системы

и опять используем тот же способ решения иррациональных неравенств
Учитывая область определения
Рассмотрим правую систему, полученную при раскрытии модуля
Итак, решение второго неравенства
Объединяем промежутки
и
получаем ответ.
Еще по теме Критерии оценивания заданий с развернутым ответом.:
- Критерии оценивания примеров-аргументов
- Определение критериев и механизма оценивания
- 1.5 Критерии оценивания магистерской диссертации
- Критерии оценивания сочинения-рассуждения на тему, связанную с анализом текста (15.3)
- Классификация ошибок, исправляемых и учитываемых в системе оценивания заданий. Речевые ошибки
- Ответы на практические задания тестовой части
- ЗАДАНИЕ: Определите, где будет аннотация, а где - отзыв или рецензия. Аргументируйте свой ответ, дайте ему оценку с точки зрения оценивания формы сочинения, представленного выше.
- ОТВЕТЫ НА КОНТРОЛЬНЫЕ ЗАДАНИЯ
- . ОТВЕТЫ НА ЧАСТЬ ЗАДАНИЙ В СИТУАЦИЯХ 1. НАЛОГ НА ПРИБЫЛЬ
- Приложение 2 Тестовые задания по учебной дисциплине «Исполнительное производство» и ответы
- 18.1. Оптимальное оценивание сигнала
- В этой связи особое значение приобретает второй критерий - критерий субъектного состава.









