<<
>>

класс - задачи 1, 2, 3, 4, 5 10 класс - задачи 2, 3, 4, 5, 6 11 класс - задачи 4, 5, 6, 7, 8

Задача 1. В треугольнике ABC проведена биссектриса AK и на ее продолжении за точку K выбрана точка L, для которой LK = AC. Оказалось, что ABI CL. Докажите, что AC > AB.

Задача 2. Группа детского сада построилась парами друг за другом.

При этом оказалось, что в каждой колонне стоит поровну мальчиков и девочек, а число пар, в которых стоят девочка и мальчик, равно числу остальных пар. Докажите, что число детей группы делится на 8.

Задача 3. На столе лежат две кучки спичек: в одной - 100 спичек, в другой - 252. Два игрока делают ходы по очереди. За один ход разрешается взять из одной кучки несколько спичек, количество которых является делителем числа спичек в другой кучке. Выигрывает взявший последнюю спичку. Кто выиграет при правильной игре - начинающий или его соперник?

Задача 4. Найдите значение a, при котором сумма квадратов корней

2

уравнения X - ax + a - 1 =0 будет наименьшей.

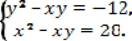
Задача 5. Решите систему уравнений

Задача 6. На биссектрисе AL треугольника ABC выбрана точка K, причем KiY.'- = --у-г- = в;:. Прямые AB и CK пересекаются в точке M, а прямые AC и BK - в точке N. Найдите величину ^AMN.

Задача 7. По кругу стоят 18 человек. Известно, что сумма возрастов любых четырех из них, стоящих подряд, равна 40. Докажите, что возраст каждого из этих людей меньше 20.

Задача 8. Решите в целых числах уравнение 6xy - 4x + 9y - 366 = 0.

9

<< | >>
Источник: И.И. Бажанский. РЕГИОНАЛЬНАЯ ПРЕДМЕТНАЯ ОЛИМПИАДА ШКОЛНИКОВ имени народного учителя Николая Николаевича Дубинина [Текст] : учебно-методическое пособие / кол. авт.; под общ. ред. канд. физ.-мат. наук И.И. Бажанского ; Владивостокский государственный университет экономики и сервиса ; Центр «Абитуриент». - Владивосток : Изд-во ВГУЭС,2015. - 96 с.. 2015

Еще по теме класс - задачи 1, 2, 3, 4, 5 10 класс - задачи 2, 3, 4, 5, 6 11 класс - задачи 4, 5, 6, 7, 8:

  1. класс - задачи 1, 2, 3, 4 10 класс - задачи 3, 4, 5, 6 11 класс - задачи 4, 5, 6, 7
  2. класс - задачи 1, 2, 3, 4 10 класс - задачи 5, 6, 7, 8 11 класс - задачи 5, 6, 7, 8
  3. ПОНЯТИЕ КЛАССОВ
  4. Классы обслуживания
  5. Формирование новых классов.
  6. Государство и проблема классов
  7. 1. AAП I класса (мембраностабилизирующие средства).
  8. 2. AAП II класса (β-блокаторы).
  9. Основные классы феодального общества
  10. Средний класс и его место в мировом сообществе
  11. 4. AAП IV класса (антагонисты кальция).
  12. Классы обеспеченных ценных бумаг
  13. Класс феодалов. Феодальная иерархия
  14. Классы и формы собственности
  15. § 3. Борьба классов и партий
  16. 0 ВЗАИМООТНОШЕНИИ МАСС, КЛАССОВ, ПАРТИЙ И ВОЖДЕЙ
  17. УЧЕБНАЯ КАРТА КЛАССА, НАПРАВЛЯЕМОГО НА ОЗДОРОВЛЕНИЕ
  18. Перспективы формирования среднего класса в России
  19. Нация и класс
  20. КРЕАТИВНЫЙ класс как основа развития РОССИЙСКОГО ОБЩЕСТВА М. А. Гайдай