Классификация рисков на рынке ценных бумаг
| |||||||||
|
| ||||||||
| |||||||||
| -политический риск -экономический риск -риск, связанный с налогообложением -правовые и нормативные риски -риск безнаказанности нарушений законодательных актов -инфляционный риск -валютный риск -риск изменения правового поля | -риск ликвидности - риск возврата - временной риск -риск, принимаемый акционерами | - капитальный риск - временной риск - отзывной риск - технический риск - риски, связанные с расчетами - риск поставки - риск, связанный с некачественной информацией
|
Рассмотрим основные типы рисков, которые на наш взгляд присущи рынку ценных бумаг Российской Федерации на сегодняшнем этапе его развития.
Политический риск. В последние годы в Российской Федерации произошли кардинальные политические изменения. Существует вероятность влияния политических процессов, общественных волнений, социальной, этнической или религиозной нестабильности или перемен в курсе федерального правительства на рыночные процессы и стабильность рынка ценных бумаг.
Экономический риск. Российская Федерация продолжает создавать инфраструктуру, необходимую для поддержания рыночной системы. Если средства связи в целом недостаточно совершенны, а банковская и другие финансовые системы только развиваются, государство имеет значительную внешнюю задолженность, то это негативно сказывается на функционировании экономики с соответствующим неблагоприятным воздействием на функционирование рынка ценных бумаг.
Риски, связанные с налогообложением. Налоговая система Российской Федерации находится в процессе развития и подвержена различным толкованиям и постоянным изменениям. В результате современная трактовка и толкование в соответствии с существующими законами и порядками могут не действовать в будущем. Более того, эти изменения могут иметь обратную силу.
Риски, связанные с некачественной информацией. Информация, в том числе информация, публикуемая различными государственными организациями, может оказаться недостаточно надежной и качественной для принятия инвестиционных решений.
Правовые и нормативные риски. В Российской Федерации отсутствует устоявшаяся правовая система. Процесс правовой реформы не всегда согласуется с развитием рынка ценных бумаг, что в результате приводит к неопределенности и непоследовательности и, в конечном итоге, к усилению инвестиционного риска. Законодательство, которое призвано обеспечить права частной собственности и контроль, а также охрану интеллектуальной собственности, должно приводиться в определенную систему, и не провоцировать коллизии местных, региональных и федеральных норм и правил.
Законы и правила, регулирующие инвестиции в ценные бумаги, могут противоречить, произвольно толковаться или применяться.
Также велик риск безнаказанности нарушений законодательства.Существует опасность того, что мероприятия, осуществляемые добросовестно на основе профессиональной консультации, впослед-ствии могут рассматриваться как несоответствующие требованиям финансового законодательства, законодательства по валютному регулированию, ценным бумагам, корпоративного законодательства.
Имеется риск неполучения инвестором реальной компенсации даже в том случае, когда соответствующее решение принято судом.
Наличествуют также риски, связанные с изменением правового поля. Это риск, вытекающий из возможности изменений правовых актов, регулирующих рынок ценных бумаг. Например, выпуск ценных бумаг может быть признан недействительным, может быть воспрещена профессиональная деятельность определенного вида и изменен статус контрагентов, изменены сроки исковой давности и т.д. Эти риски способны привести к существенным издержкам, связанным с налогообложением, необходимостью получения новой лицензии, перерегистрации проспекта эмиссии и т.д.
Риск, связанный с расчетами. Вопреки тому, что регулирующие процедуры передачи ценных бумаг теоретически достаточно определены, на практике в расчете по ценным бумагам только начинают появляться элементы стандартных процедур и создания централизованной системы. Расчет производится по правилам, вырабатываемым для каждого конкретного случая отдельно и в результате может быть административно громоздким, длительным и неопределенным. Это приводит к имущественным спорам и создает трудности при продаже ценных бумаг. Риск конфликта интересов у лиц, ответственных за проведение расчета, опасности мошенничества или неисполнения расчета без уважительных причин, может повлечь за собой полную потерю инвестиций.
Риск, принимаемый акционером. Законодательство Российской Федерации, регулирующее права собственности, контроль и управление обществом, находится в стадии развития и предоставляет ограниченную защиту для инвесторов, имеющих меньшинство голосов. Требования по раскрытию информации и отчетности только формируются, законодательство, направленное против мошенничества и торговли на основе закрытой информации, в целом недостаточно развито. Руководство может прекратить хозяйственную деятельность, продать или каким-либо другим способом передать активы либо каким-то другим образом повлиять на стоимость предприятия без согласия акционеров. Защита от размывания доли в уставном капитале может быть также ограничена. Концепция ответственности руководства и членов совета директоров в целом ограничена. Работа автора данной работы с 1990 года в законодательном и государственном, регулирующем рынок ценных бумаг органах, дает возможность подтвердить, что все вышеуказанные риски принимает на себя акционер. Однако существуют лица, использующие риски для своей выгоды (например, генеральный директор, совет директоров, третьи лица, даже отдельные государственные органы).
Специфическими финансовыми видами риска являются риск изменения процентной ставки и риск инфляции. Речь идет об изменении макроэкономической ставки процента, определяющей стоимость капитала в национальной экономике. Например, вкладывая в корпоративные облигации с 10% годовых при 6% годовых по государственным облигациям, инвестор получит очевидную прибыль (естественно, при принятии на себя риска банкротства компании). Однако, если в середине года будет выпущена новая серия государственных облигаций, предлагающая 12% годовых (без всякого риска), то наш инвестор проиграет - его облигации на рынке будут продаваться с дисконтом, соответствующим новой безрисковой ставке в 12% (или с учетом риска, несколько выше). Если инвестор вложит свои средства в облигации с расчетом сделать через 6 месяцев инвестиции ровно на полученную сумму, продав облигации на рынке, то он сталкивается с необходимостью взять недостающие средства в долг уже по ставке заимствования, которая будет, конечно, выше 12% годовых. Следовательно, процентный риск - это риск имущественных потерь, которые несут инвесторы в связи с изменениями процентных ставок на рынке. Данный вид риска важен для инвестора, инвестировавшего свои активы в среднесрочные и долгосрочные ценные бумаги с фиксированным доходом при текущем повышении или снижении среднего рыночного процента в сравнении с фиксированным доходом.
Инфляционный риск - это риск, связанный с тем, что при высокой инфляции доходы, получаемые инвесторами от владения этими ценными бумагами, обесценивается (с точки зрения реальной покупательной способности) быстрее, чем они увеличатся. В результате инвестор несет определенные имущественные потери. Инвестор опасается не самого факта инфляции, а ее неправильной оценки, так как это повлечет снижение реальной доходности его инвестиций.
Временной риск - это риск выпуска ценных бумаг, заключения каких-либо гражданско-правовых сделок с ценными бумагами в неблагоприятное время, что может повлечь за собой имущественные потери инвестора.
Инфраструктурный риск характеризуется потерями, связанными с отсутствием либо несоответствием требованиям инфраструктуры рынка ценных бумаг. Это особенно важно для ценных бумаг в без документарной форме, когда процесс перехода прав от одного владельца к другому происходит в форме внесения изменений в реестр владельцев именных ценных бумаг.
Риск возврата связан с тем, что эмитент в определенное время не в состоянии вернуть как проценты, так и сумму долга, в основном по долговым ценным бумагам.
Региональный риск - это риск, связанный с изменением хозяйственной ситуации в конкретном регионе. Данный вид риска является актуальным для Российской Федерации, когда не реализуются как федеративный договор, так и отдельные федеральные программы, относящиеся к регионам. Также это связано с уровнем развития инфраструктуры рынка ценных бумаг в регионе.
К самой крупной группе рисков, присущих рынку ценных бумаг, можно отнести технические риски.
Технический риск - это риск потерь, связанных с ненадлежащим техническим состоянием компьютерных и иных систем, с перемещением прав по ценным бумагам, информации, низким уровнем персонала. Он включает следующие параметры:
* незаконное присвоение чужих активов путем использования поддельных документов или компьютерного мошенничества;
* злонамеренное мошенничество или воровство со стороны персонала;
* ошибки персонала при обработке поручения клиента;
* ошибочное использование средств одного клиента для расчетов по обязательствам другого;
* хищение наличных ценных бумаг;
* ошибочное установление прав на получаемые доходы и несоблюдение правил налогообложения. Так, ЧИФ “Север-Прин”, руководство которого, допустило ошибки при исчислении и уплате налогов, оказался должен бюджету около 1,5 млн. деноминированных рублей. Для погашения долга ЧИФу пришлось продать часть своих наиболее значимых активов. После расчетов он оказался нежизнеспособным, и теперь 38 тыс. акционеров ЧИФ “Север-Прин” потеряли не только вложенные деньги, но и доверие к рынку ценных бумаг и финансовой системе страны.
Риск поставки - это риск невыполнения обязательств по своевременной поставке ценных бумаг, предполагаемых к поставке по заключенному контракту, и риск в связи с поставкой не принадлежащей продавцу ценной бумаги.
Риск урегулирования расчетов - это риск имущественных потерь инвестора по сделкам с ценными бумагами, связанный с неотлаженной системой расчетов по ценным бумагам.
Важно подчеркнуть, что существуют как систематические, так и несистематические риски.
Систематический риск - это риск обвала (кризис) рынка ценных бумаг в целом как в отдельно взятой стране, так и в мире. Этот вид риска не связан с определенным видом ценных бумаг; он представляет собой общий риск на все инвестиции в ценные бумаги, риск того, что ценные бумаги не удастся конвертировать в иные активы без существенных потерь.
Несистематический риск - это все виды рисков, связанные с конкретными ценными бумагами. Уровень несистематического риска выражается в понятии “инвестиционное качество” ценной бумаги.
Необходимо отметить, что среди указанных выше рисков есть такие, как общегосударственные, фирменные (операционный риск, риск поставки), присущие отдельным профессиональным участникам (депозитарии и регистраторы), которыми необходимо управлять только путем государственного регулирования.
Состояние экономики России в переходный период увеличивает степень отдельных рисков на рынке ценных бумаг в России гораздо больше, чем в других странах. Это является одним из серьезнейших тормозов интернационализации рынка, привлечения иностранных и отечественных инвесторов в целях развития реального сектора экономики.
Рассматривая риски, присущие рынку ценных бумаг, Я.М. Миркин отмечает, что “... деятельность на российском рынке ценных бумаг нуждается в особых портфельных стратегиях, в специально подобранных финансовых институтах, которые снижали бы эти риски”1. Нам кажется, что решить вопрос снижения рисков на рынке ценных бумаг невозможно без жесткого и эффективного механизма государственного регулирования этого рынка. Надежда на стихийное саморегулирование рисками на данном этапе приводит к угрозе экономической безопасности хозяйствующих субъектов2.
С понятием выгод, издержек и риска тесно связано понятие интерес. В узком смысле интерес - это выгода, проистекающая из конкретных экономических процессов и сделок. В широком смысле интерес - это вероятность соотношения моментального выигрыша к потенциальному проигрышу. Чем больше вероятность и абсолютная величина потенциального выигрыша и чем меньше потенциальный проигрыш, тем выше интерес.
Интересы могут быть объективные и субъективные, экономические и политические, общие и частные, противоречащие и непротиворечащие друг другу.
На рынке ценных бумаг различаются две группы интересов - интересы продавцов ценных бумаг и интересы инвесторов.
Продавцы особого товара - ценных бумаг преследуют следующие интересы:
· привлечение инвестиций;
· реконструирование прав собственности для привлечения инвесторов;
· совершенствование управления предприятиями в целях эффективного использования инвестиций.
Инвесторы, т.е. те лица, которые вкладывают свои капиталы в экономику через механизм рынка ценных бумаг, преследует другие интересы:
· обеспечение сохранности вложенных средств;
· увеличение стоимости вложенного капитала;
· получение положительной величины дохода;
· участие в капитале;
· страхование средств от рисков.
Раскрытие объективного содержания интересов участников рынка ценных бумаг позволяет полнее учесть тенденцию его развития и функции субъектов рынка ценных бумаг. Рынок ценных бумаг предстает в данном контексте как система отношений между интересами.
Портфелем ценных бумаг (далее портфель) - называется совокупность видов ценных бумаг созданная для достижения определенных инвестиционных целей. Элементы этой совокупности-виды ценных бумаг и их долевое содержание в портфеле определяют структуру портфеля.
В условиях развивающегося в России рынка ценных бумаг теории портфельного инвестирования становятся все более популярными как среди инвесторов, так и среди аналитиков рынка. В отличие от конкретного вида ценных бумаг оптимально подобранная совокупность ценных бумаг обладает рядом преимуществ, поскольку позволяет, хотя и с определенными ограничениями:
- управлять доходом от инвестиционной деятельности: доход портфеля в целом не может превышать дохода входящих в него ценных бумаг, однако можно приблизить его к максимальному, уменьшив при этом риск инвестиций;
- управлять риском: за счет включения в портфель различных видов ценных бумаг, свести к минимуму несистематический риск, присущий отдельно взятым ценным бумагам.
В зависимости от инвестиционных целей можно выделить следующие виды портфелей:
- портфель, ориентированный на рост обеспечивает прирост капитала за счет повышения курса входящих в портфель ценных бумаг;
- портфель, ориентированный на доход, рассчитан на получение дохода за счет текущих дивидендов и процентов;
- портфель, ориентированный на рост и доход.
Оптимальный портфель не является некоторым случайным набором ценных бумаг, а строится по вполне определенным математическим закономерностям. Для построения портфеля используются методы математического моделирования экономических процессов и методы математической статистики.
В настоящее время предлагаются следующие теории позволяющие построить оптимальный портфель: традиционный подход к управлению портфелем и современная портфельная теория.
Традиционная теория управления портфелем основана на идее сбалансированного портфеля. Эта теория применяется со времен основания рынка ценных бумаг. Выбор составляющих такого портфеля основан на фундаментальном и техническом анализе рынка ценных бумаг и межотраслевой диверсификации, которая позволяет нивелировать циклические колебания ценных бумаг одной отрасли промышленности за счет другой.
Современная портфельная теория построена на идеях, сформулированных в 50-е годы Гарри Марковицем, и использует инструменты теории вероятностей и математической статистики, позволяющие не только минимизировать систематический риск, но и следить за уровнем несистематического.
Общим для двух описанных теорий являются два параметра портфеля: риск и доходность.
В настоящее время решение конкретных задач построения оптимального портфеля чаще всего сводится к решению двух задач с основными параметрами «риск» и «доходность»:
1) построение портфеля с максимальной доходностью при минимальном риске;
2) построение портфеля с еще более высоким уровнем доходности (по сравнению с первой задачей) при заданном уровне риска.
Вторая задача представляется более интересной, поскольку в ее постановке участвует еще и непосредственно конкретный инвестор, который определяет степень риска, на который он может пойти для получения более высокой доходности инвестиционной деятельности. Причем степень риска, на который может пойти инвестор зависит от его возраста, опыта, семейного и финансового положения, азарта и многих других факторов.
Каждая вид ценных бумаг, входящих в портфель имеет свою доходность. Составляя портфель, они приходят в него со своей доходностью, а в итоге определяют доходность всего портфеля в целом. Доходность A портфеля из n видов ценных бумаг определяется:
,
где
- доля ценных бумаг вида i,
- доходность ценных бумаг вида i.
Очевидно, что сумма всех долей составляющих портфель равна 1 (портфелю):

.
Риск портфеля ценных бумаг можно разделить на две составляющие, определения которым даны выше: систематический (или недиверсифицируемый) и несистематический (диверсифицируемый) риск. Портфель создается с целью диверсификации – сокращения несистематического риска путем использования в структуре портфеля различных инвестиционных инструментов (видов ценных бумаг). На систематический риск инвестор повлиять не может, однако может оценить его при помощи методов СПТ. Таким образом:
РИСК = систематический риск + несистематический риск.
В качестве меры риска используются такие понятия как дисперсия ( D ) и среднее квадратическое отклонение (
), которые измеряют колебания дохода портфеля, т.е. рассеяние дохода вокруг среднего значения. Чем выше дисперсия, тем больше разброс дохода относительно среднего значения, а значит степень риска вложений в портфель.
Если имеется портфель, причем показатели доходности составляющих его ценных бумаг являются статистически независимыми величинами, то дисперсия дохода портфеля вычисляется по формуле:
,
где Di –дисперсия дохода i-ой ценной бумаги.
Эта формула помогает оценить n - оптимальное количество видов ценных бумаг, которое необходимо включить в портфель для уменьшения дисперсии, а значит риска. Пусть имеется портфель из n видов ценных бумаг. Пусть все виды ценных бумаг имеют одинаковую дисперсию дохода Dx и входят в портфель в равных долях, тогда
,
Из этой формулы, очевидно, что с ростом числа n дисперсия D портфеля уменьшается, а значит, уменьшается риск. По утверждению Лоренса Гитмана и Майкла Джонка оптимальное число структурных единиц составляющих портфель находится в диапазоне от 8 до 20, с подробным обоснованием этого утверждения можно познакомиться в работах [1] и [3].
Для статистически зависимых показателей дохода составляющих портфель отдельных видов ценных бумаг дисперсия дохода портфеля определяется:
,
где rij – коэффициент корреляции дохода бумаг вида i и j, si, sj – среднее квадратическое отклонение дохода у бумаг вида i и j. [3]
Хочется обратить особое внимание на коэффициент корреляции как одном из основных показателей СПТ. Коэффициент корреляции, принимая значения от –1 до 1 измеряет связи между доходностями ценных бумаг составляющих портфель. Если коэффициент корреляции между показателями доходности близок к 1, то говорят, что активы положительно коррелированны, если к –1, то отрицательно коррелированны. С точки зрения диверсификации портфеля положительная корреляция активов, повлечет за собой наложение одинаково направленных колебаний доходностей отдельных активов, что в свою очередь приведет к увеличению дисперсии, а значит риска. Отрицательно коррелированные активы обладают тем преимуществом, что колебания их доходностей разнонаправлены, а значит, возможно, погасить колебания одних активов за счет других и этим свести к минимуму несистематический риск портфеля. Тем не менее оптимальный диверсифицированный портфель все же останется подвержен колебаниям рынка ценных бумаг в целом с точки зрения систематического риска.
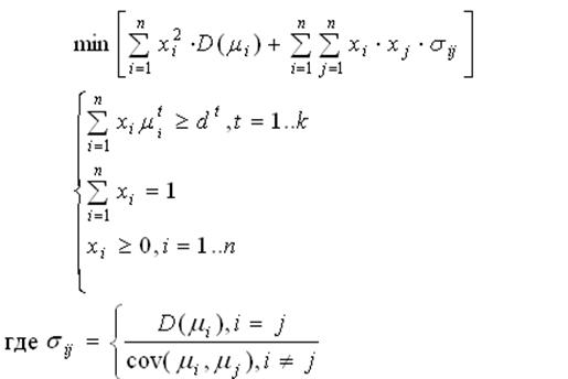
В качестве примера приведем математическую модель, предлагаемую для расчета оптимальной структуры портфеля из российских ценных бумаг.
В общем виде математическая модель нахождения оптимальной структуры портфеля акций выглядит следующим образом:
- доля i бумаги в оптимальном портфеле;
- номинальная доходность i-ой ценной бумаги,
- дисперсия доходности i-ой ценной бумаги,
- запланированная инвестором доходность.
Целевая функция представляет собой дисперсию инвестиционного портфеля, состоящего из n видов ценных бумаг. Первое ограничение - это математическая форма записи доходности реального инвестиционного портфеля. Второе ограничение отражает тот факт, что при полном инвестировании сумма всех долей будет составлять единицу. [5]
С помощью этой модели была рассчитана структура оптимального портфеля, состоящего из предложенных российских ценных бумаг.
В заключение хочется отметить, что нельзя рассматривать построенный портфель как нечто постоянное. Хотя в условиях стабильных рынков ценных бумаг оптимальный портфель достаточно долгое время будет отвечать требованиям инвестора. В условиях развивающегося российского рынка ценных бумаг для поддержания требуемого уровня доходности и риска инвестору рекомендуется все время наблюдать за движением рынка, чтобы своевременно вносить коррективы в структуру портфеля.
Вопросы для повторения
1. В чем сущность рисков на рынке ценных бумаг?
2. Каковы основные риски на рынке ценных бумаг?
3. Можно ли регулировать рисками на рынке ценных бумаг?
4. Какой из рисков на рынке ценных бумаг является опасной для компании-эмитента?
5. Что из себя представляет портфель ценных бумаг?
Рекомендуемая литература
1. Введение в рынок ценных бумаг./ Под ред. А.П. Шихвердиева. Сыктывкар. Пролог. 1996.- 142 с.
2. Основы рынка ценных бумаг./Под ред. А.П. Шихвердиева. Сыктывкар.: Пролог, 1996. - 338 с.
3. Рынок ценных бумаг. Учебник/Под ред. В.А. Галанова, А.И. Басова. М.: Финансы и статистика, 1996. - 252 с.
4. Рынок ценных бумаг/Под ред. Н.Т. Клешева. М.: ОАО Изд-во “Экономика”, 1997.- 559 с.
5. Ценные бумаги. Учебник./Под ред. В.И. Колесникова, В.С. Торкановского.- М.: Финансы и статистика. 1998. - 416 с.
6. Шихвердиев А.П. Роль государственного регулирования в обеспечении экономической безопасности его субъектов. М.: Экономика, 1999. - 320 с.
7. Горланов Г.В., Шихвердиев А.П., Максимов В.В. Экономическая сущность, структура и функции рынка ценных бумаг. Вестник Санкт-Петербургского университета. 2001 №4. С.14-17.
8. ФЗ “О защите прав и законных интересов инвесторов на рынке ценных бумаг”: вопросов больше, чем ответов//Экономика и жизнь. 1999, № 24
9. Федеральный закон от 10 июля 2002г. №86-ФЗ “О Центральном банке Российской Федерации (Банке России) (принят ГД ФС РФ 27 июня 2002 г.).
10. Указ Президента РФ от 01 июля 1996 г. № 1009 “О федеральной комиссии по рынку ценных бумаг”.
11. Указ Президента РФ от 09 марта 2004 №314 “О системе и структуре федеральных органов исполнительной власти”.
12. Приказ Федеральной службы по финансовым рынкам от 26 января 2005 г. N 05-110/пз-и "Об утверждении Списка профессиональных участников рынка ценных бумаг, информация о финансовом состоянии которых в оперативном порядке должна направляться в Группу оперативного финансового анализа ФСФР России в целях осуществления контроля за системными рисками на рынке ценных бумаг".
13. Основы рынка ценных бумаг./Под ред. А.П. Шихвердиева. Сыктывкар.: Пролог, 1996. 338 с.
14. Рынок ценных бумаг. Учебник/Под ред. В.А. Галанова, А.И. Басова. М.: Финансы и статистика, 1996. 252 с.
15. Шихвердиев А.П. Роль государственного регулирования в обеспечении экономической безопасности его субъектов. М.: Изд-во “Экономика”. 1999. 320 с.
16. Гитман Л.Д., Джонк М.Д. Основы инвестирования – М.: Дело,1997.
17. Боровкова В.А. Рынок ценных бумаг– СПб.: Питер, 2005.- 320 с.
18. Четыркин Е.М. Финансовая математика: Учебник. – М.: Дело, 2005. – 400с.
19. Кремер Н.Ш. Теория вероятностей и математическая статистика: Учебник для вузов. – М.: ЮНИТИ-Дана, 2004. – 573 с.
Еще по теме Классификация рисков на рынке ценных бумаг:
- 5.1. Основы страхования на рынке ценных бумаг
- Шихвердиев А.П.. Компании на рынке ценных бумаг.2006, 2006
- 2. Саморегулирование на рынке ценных бумаг.
- 1. Понятие и виды профессиональной деятельности на рынке ценных бумаг
- Ответственность за нарушение законодательства о Рынке ценных бумаг.
- 7.4.ОБЛИГАЦИИ ПРЕДПРИЯТИЙ, ИХ ПРИСУТСТВИЕ НА РЫНКЕ ЦЕННЫХ БУМАГ УКРАИНЫ.
- Проблемы и перспективы электронной торговли на российском рынке ценных бумаг.
- Страхование на рынке ценных бумаг
- 1.2. Классификация ценных бумаг
- 1. Основные заемщики и поставщики капитала на рынке ценных бумаг
- ДЕЯТЕЛЬНОСТЬ БАНКА НА РЫНКЕ ЦЕННЫХ БУМАГ
- С.А. Савин.. Коммерческие банки на рынке корпоративных ценных бумаг., 2004
- Тема 10. Профессиональная деятельность на рынке ценных бумаг