<<
>>

Тема 5. Неортодоксальная экономическая теория XIX века

1.Критически-утопический социализм.

2. Старая историческая школа

3. Марксизм

Протест против несправедливости, зла, неравенства, угнетения, частной собственности возникает к началу XIX века, в период активного развития капитализма на новой волне промышленной революции.

Массовые недовольства, народные волнения связанные с несправедливой эксплуатацией наемного труда порождают новое направление в экономической мысли - утопический социализм. проповедь добра, справедливости, равенства, мечтания об идеальном обществе,- идеи, нашедшие отражение в трудах Сен-Симона, Ш.Фурье, Р.Оуэна.

1. УТОПИЧЕСКИЙ СОЦИАЛИЗМ - учение, предшествовавшее марксизму о возможности преобразования общества на социалистических принципах, о его справедливом устройстве.

Р. Оуэн становится инициатором развития поддержки наемных работников, а также основателем профсоюзов. «…Государство, столь сурово и предвзято относящееся к бедным, покорно идет на поводу интересов привилегированного меньшинства — людей, обладающих богатством…». Капитализм, по словам Р.Оуэна, формирует у людей «привычки…как бы предназначенные для подавления всех социальных чувств». «Человек, живущий в таких условиях, видит все окружающее как бы набегу, из дорожного дилижанса, и стремясь к индивидуальному обогащению, пренебрегает самим собой, своим благополучием, своими потребностями и даже страданиями, если не считать унизительной системы приходской благотворительности, которая пригодна только для того, чтобы делать сердце человека нечувствительным к страданиям его собратьев или формировать тиранов и рабов. Сегодня человек работает на одного хозяина, завтра — на второго, затем — на третьего и четвертого, пока все связи между предпринимателями и наемными рабочими не низведутся к простому соображению о непосредственной выгоде, которую можно извлечь из другого человека».

Ш. Фурье (1772 -1837), выделял такие ступени развития человечества: дикость, патриархат, варварство и цивилизация, основанная на крупном производстве. Цивилизация порождает «социетарное, правдивое и привлекательное производство», высшей ступенью которого является «гармонизм, сложная ассоциация». Труд по его словам, является естественной потребностью человека и наслаждение. Он стремится создать идеальное общество:

Анри де Сен-Симона (1760—1825) в «Книге о новом нравственном мире» (1844) предлагает ряд мероприятий по решению социальных проблем. По реализации проекта им были построены общежития, столовая, торговая лавка, детский сад. Более того, он добился на законодательном уровне сокращение рабочий день для взрослых с 17 до 10 часов; предопределил законодательство отказавшись пользоваться трудом детей в возрасте менее 10 лет и создав для них школы, которое впервые были абсолютно светскими. Подобные новшества значительным образом улучшили качество жизни наемных работников.

Симон де Сисмонди (1773–1842) был первым из экономистов, который показал противоречия между производством и потреблением в капиталистическом обществе и связь этого противоречия с экономическими кризисами. подверг критике свободную конкуренцию. Он считал, что государству необходимо вмешиваться в управление хозяйственными процессами как естественными, разрабатывая систему юридических законов, выступал с критикой зарождающихся капиталистических отношений, идеализируя мелкотоварное производство, цеховую организацию ремесла.

подверг критике свободную конкуренцию.

2. СТАРАЯ ИСТОРИЧЕСКАЯ ШКОЛА - направление экономической мысли, сложившееся в Германии в 40-50-х гг. XIX в. Главной чертой этой школы являлось использование исторического метода применительно к анализу экономических явлений и процессов.

Предметом исследования служила хозяйственная эволюция отдельных стран и народов, их экономических порядков, институтов, политики, права, морали, нравственности и психологии, этических норм и правил. На первое место выдвигались национальные особенности отдельных стран, определяющие, по мнению представителей старой исторической школы, пути их хозяйственного развития. Старая историческая школа положила начало сравнительному анализу экономического развития отдельных стран (компаративистике).

Ф. Лист (1798-1846) и его сторонники утверждали, что политическая экономия является чисто национальной, а не всеобщей наукой. Рассматривает идеи национальной индустриальной державы, способной к экономической и политической экспансии на мировой арене. Ставит задачу в определении наиболее благоприятных условий для развития производительных сил нации. Лист выступал противником свободной торговли, считая, что принцип свободной торговли закрепляет преимущества развитых стран, а странам развивающимся нужен таможенный протекционизм для подъема их экономик.

Вернер Зомбарт (1863 — 1941) обвиняет в появлении капитализма женщин, основываясь на мнении, что появление неработающих представительниц женского пола среднего класса вынудило мужчин дарить им роскошные подарки, которые они требовали, и, таким образом, это порождало в мужчинах дух капиталистической наживы.

Пьер Жозеф Прудон (1809—1865) разработал идею «дарового кредита» и предложил организовать народный банк, который бы выдавал бесплатный кредит. Такие реформы привели бы к установлению нового строя. Все стали бы трудиться, обмениваться равными количествами труда, установилось бы экономическое равенство. За идею полного отказа от государства Прудон получил в истории титул «отец анархии».

3. МАРКСИЗМ

Марксизм – это система философских, экономических, социально-политических взглядов К. Маркса; наука о познании и революционном преобразовании мира, о законах развития общества, природы и человеческого мышления.

Карл Ге?нрих Маркс (1818 — 1883) — немецкий философ, экономист, социолог, политический журналист, общественный деятель. Основная работа: "Капитал" в 3 томах. (1867, 1885, 1894). Заслуга немецкого философа и экономиста К. Маркса заключается в том, что его работы стали точкой отсчета для современной радикальной политической экономии XX века. Экономические воззрения К. Маркса представляют совокупность концепций, отражающих закономерность социально-экономических процессов развития общества.

Теория прибавочной стоимости. Главным, центральным понятием теории Карла Маркса является теория прибавочной стоимости (теория классовой эксплуатации наемного труда). Из процесса создания прибавочной стоимости Маркс выводит и понятие эксплуатации труда капиталистом. Капиталистические предприятия объединяют труд тысяч рабочих, а в результате углубления общественного разделения труда в производстве каждого товара принимают участие многие предприятия различных отраслей экономики.

Производительные силы приобретают все более общественный характер, но их развитие сдерживается частнокапиталистической формой собственности. Рассматривая время работы он делит его на необходимое рабочее, во время которого работник создает необходимый продукт, и прибавочное, за которое создается прибавочный продукт. Именно присвоение прибавочного продукта капиталистом Маркс считает эксплуатацией труда. Это, как подчеркивает Маркс, является основным противоречием капиталистического способа производства.

По словам К. Маркса, «…прибавочная стоимость есть не что иное, как избыток того количества труда, которое дает рабочий, над тем количеством овеществленного труда, которое он получил в своей собственной заработной плате, в качестве стоимости своей рабочей силы». Таким образом, прибавочная стоимость, - стоимость, создаваемая неоплаченным трудом наёмного рабочего сверх стоимости его рабочей силы и безвозмездно присваиваемая капиталистом. Маркс считал, что заработная плата — это превращенная стоимость (цена) рабочей силы. Он анализирует факторы, воздействующие на изменение заработной платы, ее формы, национальные особенности.

Процесс производства капитала в целом, превращение прибавочной стоимости в прибыль, образование нормы прибыли. Совокупный общественный продукт, по Марксу, равен сумме издержек производства и прибыли:

w = c + v + m = k + p,

где: с — постоянный капитал;

v — переменный капитал;

т — прибавочная стоимость;

k — издержки производства;

р — прибыль.

С одной стороны, постоянное ухудшение положения рабочих, усиление их эксплуатации поднимают пролетариат на борьбу за свои права, а с другой стороны, внутри самого капитализма вызревают объективные предпосылки его крушения и создания новой формации, основанной на общественной собственности на средства производства. Эти положения легли в основу концепции классовой борьбы, в соответствии с которой общество делится на «базис и надстройку».

Базис общества — это совокупность исторически определенных производственных отношений. Совокупность этих производственных отношений составляет экономическую структуру общества, реальный базис, на котором возвышается юридическая и политическая надстройка и которому соответствуют определенные формы общественного сознания».

Надстройка представляет собой совокупность идеологических отношений, взглядов и учреждений; в неё входят государство и право, а также мораль, религия, философия, искусство, политическая и правовая форма сознания и соответствующие учреждения.

Теория трудовой стоимости. Стоимость товара эквивалентна затратам рабочего времени, а цена товара денежное выражение стоимости. Товар, по Марксу, содержит противоречия между потребительной стоимостью и меновой стоимостью, абстрактным и конкретным трудом, частным и общественным трудом. Здесь же выводится всеобщая формула капитала:

Д — Т — ... П ... — Т" — Д".

Деньги оказывают обратное влияние на производство. Деньги, как объясняет Маркс, являются необходимым условием товарных отношений, продуктом товарного производства. Деньги служат выражением стоимости соизмеримых товаров. В частности, из функций денег как средства обращения и платежа К. Маркс выводил возможность кризисов, которая объяснялась появлением разрыва во времени и пространстве между продажей и куплей товаров.

В соответствии с теорией К. Маркса для обслуживания обращения определенной товарной массы требуется определенное количество металлических денег, которое определяется рядом факторов производства:

§ суммы цен товаров;

§ скорости оборота денежных единиц при обслуживании сделок;

§ развития кредитных отношений.

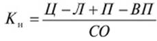
К. Маркс предложил следующую формулу закона денежного обращения (определения количества наличных денег):

§ Кн - количество денег, необходимых для обращения;

§ Ц — сумма цен проданных товаров;

§ К — сумма цен товаров, проданных в кредит;

§ П — сумма платежей, по которым наступил срок оплаты;

§ ВП - сумма взаимопогашающихся платежей;

§ СО - среднее число оборотов денег, или скорость оборота денег.

Анализируя земельную ренту, Маркс рассматривает ее эволюцию, образование дифференциальной ренты I и II. Он считал, что земельная рента — это сверхприбыль, образующаяся в сельском хозяйстве в результате прибавочного труда сельскохозяйственных рабочих.

<< | >>
Источник: О.В. Корнейко, Е.В. Астахова. ИСТОРИЯ ЭКОНОМИЧЕСКИХ УЧЕНИЙ. 2015

Еще по теме Тема 5. Неортодоксальная экономическая теория XIX века:

  1. Тема 5. НЕОРТОДОКСАЛЬНАЯ ЭКОНОМИЧЕСКАЯ ТЕОРИЯ XIX ВЕКА
  2. 4.6.1. Экономическое развитие России в первой половине XIX века
  3. B конце XIX — начале XX века экономическое развитие стран Латинской Америки заметно ускорилось
  4. Тема № 11. Психологическая мысль в России в XIX веке и начале ХХ века
  5. США (конец XVIII века — начало 50-х годов XIX века)
  6. Тема 1. Экономическая теория: предмет и метод
  7. Тема 1:Экономическая теория: предмет и метод
  8. Лекция 21 Тема: МЕЖДУНАРОДНЫЕ ЭКОНОМИЧЕСКИЕ ОТНОШЕНИЯ. ТЕОРИЯ ГЛОБАЛИЗАЦИИ
  9. Хетты, ошибка XIX века
  10. 4.6.3. Общественнополитическое движение в России в 30 50е голы XIX века
  11. 4.6.6. Русская кудьтура XIX века и ее вклад в мировую культуру
  12. A. H. Бадак, И. E. Войнич, H. M. Волчек,. Всемирная история:. Национально-освободительные войны XIX века ., 1999
  13. 1. Экономическая теория как наука о принципах хозяйствования Предмет экономической теории
  14. § 2. Новое время до XIX века
  15. Экономическая теория, принципы, экономическая политика и практика
  16. Глава 25. Избирательные реформы в Англии XIX века