<<
>>

9.2. Основной и оборотный капитал. Амортизация

Всякая фирма заинтересована в том, чтобы ее капитал находился в движении и непрерывно воспроизводился.

Индивидуальное воспроизводство – это непрерывно повторяющийся процесс производительного соединения факторов производства с целью создания товаров и получения дохода.

Исходным моментом воспроизводства является кругооборот капитала.

Кругооборот капитала – это движение стоимости факторов производства через сферы производства и обращения, в результате чего она проходит три стадии и последовательно принимает производительную, денежную и товарную формы.

Стадии производственного цикла:

где D – первоначальный капитал (авансированные деньги); Т – товар; РС – рабочая сила; СП – средства производства; П – процесс производства товаров и услуг; Т? – произведенный продукт; D? – возросший первоначально авансированный капитал.

Каждая из трех стадий выполняет определенную функцию:

• на первой формируются условия производства;

• на второй осуществляется производство товаров и услуг;

• на третьей происходит реализация товаров и услуг и получение прибыли.

Кругооборот, рассматриваемый как непрерывно возобновляемый процесс, называется оборотом.

Между кругооборотом и оборотом существует различие: в течение одного кругооборота (скажем, производства одной партии обуви) фирме возвращается лишь часть первоначально авансированной стоимости; в течение одного оборота фирме возвращается вся первоначально авансированная стоимость. Для этого может понадобиться несколько кругооборотов (производство многих партий обуви).

Оборот измеряется временем и скоростью.

Время оборота – это период, в течение которого ресурсы, пройдя сферы производства и обращения, возвращаются к исходной (денежной) форме.

Время оборота распадается на время производства и время обращения. Скорость оборота измеряется числом оборотов ресурсов, совершаемых в течение года.

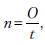
Число оборотов определяется по формуле:

где n – число оборотов в год; O – принятая единица времени (1 год); t – время оборота данных ресурсов.

Оборот совершает производственный капитал (у Маркса – промышленный).

Производственный капитал – это выраженные в стоимостной форме факторы производства, функционирующие в замкнутом воспроизводственном цикле.

В соответствии со способом переноса стоимости используемого производственного капитала на стоимость созданного товара различные по натурально-вещественной форме его элементы делятся на две группы – основной капитал и оборотный капитал.

К основному капиталу относятся здания, оборудование и т. п. Они многократно используются в производственных циклах и переносят стоимость по частям.

К оборотному капиталу относятся сырье, материалы, рабочая сила. Они используются полностью и переносят стоимость в течение одного производственного цикла.

Процесс переноса стоимости основного капитала в течение срока его службы на стоимость произведенного товара и аккумулирование ее в амортизационном фонде называется амортизацией.

Амортизационный фонд предназначен для восстановления элементов основного капитала, выбывшего из производственного процесса в силу физического и морального износа.

Физический износ основного капитала – это потеря им потребительной стоимости.

Моральный износ – это потеря стоимости по двум причинам:

создание аналогичных, но более дешевых средств труда (моральный износ первого рода);

выпуск более производительных средств труда при той же цене (моральный износ второго рода).

Учет физического и морального износа имеет большое значение для установления норм амортизации.

Норма амортизации – это отношение годовой суммы амортизационных отчислений к среднегодовой стоимости основного производственного капитала, выраженное в процентах. Она показывает, за сколько лет стоимость основного капитала должна быть возмещена. Различают два основных метода исчисления амортизации:

простая (прямолинейная) амортизация, т. е. равномерное списание стоимости средств труда каждый год их службы и перенос этих сумм в амортизационный фонд;

ускоренная, предполагающая удвоенную норму амортизации. Она вызвана НТП, в результате которого сроки службы оборудования сокращаются.

Возмещение – это покупка новых средств производства взамен выбывших.

Обобщающим показателем использования основных фондов (капитала) является фондоотдача (ФО):

где ФО – фондоотдача; П – выпуск продукции; Фосн – стоимость основных производственных фондов (капитала).

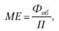
Использование оборотных фондов (капитала) выражается в материалоемкости (МЕ):

где Фоб – оборотные фонды; П – стоимость выпущенной продукции.

Кроме основного и оборотного капитала (фондов), функционирующих в сфере производства, фирмы имеют фонды обращения, предназначенные для реализации.

Денежные средства, вложенные в оборотные фонды обращения, образуют оборотные средства.

Эффективность использования оборотных средств определяется коэффициентом оборачиваемости, который измеряется отношением стоимости реализованной за год продукции к среднему остатку оборотных средств.

<< | >>
Источник: Вера Амосова, Галина Гукасьян, Галина Маховикова. Экономическая теория. 0000

Еще по теме 9.2. Основной и оборотный капитал. Амортизация:

  1. 50. Основной и оборотный капитал. Амортизация
  2. 3. Оборот капитала. Основной и оборотный капитал. Амортизация и ее норма. Время и скорость оборота капитала и прибыль
  3. 2.3 Физический капитал. Основной и оборотный капитал. Физический и моральный износ. Амортизация.
  4. 30. ИНДИВИДУАЛЬНОЕ ВОСПРОИЗВОДСТВО: ОСНОВНОЙ И ОБОРОТНЫЙ КАПИТАЛ, ИХ КРУГООБОРОТ, ОБОРОТ И АМОРТИЗАЦИЯ
  5. 2.3. Амортизация основных средств
  6. Учет амортизации основных средств
  7. § 3. Износ и амортизация основных средств
  8. § 2. Физический и моральный износ " основного капитала
  9. Инвестиции как основа накопления капитала и обновления основных фондов
  10. 6 Основные фонды предприятия и оборотные средства предприятия
  11. Основные формы вывоза капитала
  12. Основные формы вывоза капитала.
  13. 7.Сколько оборотов совершили оборотные средства за прошлый год, если средние остатки оборотных средств составили за год 15 680 руб., выручка от реализации продукции — 58 230 руб.:
  14. Поступление основных средств в качестве вклада в уставный капитал
  15. 1. Основные заемщики и поставщики капитала на рынке ценных бумаг
  16. Амортизация
  17. В.Е.Ануфриев. БУХГАЛТЕРСКИЙ УЧЕТ ОСНОВНЫХ СРЕДСТВ, КАПИТАЛА И ПРИБЫЛИ, 2000
  18. Лекция 9 Тема: ФИРМА – ОСНОВНОЙ СУБЪЕКТ БИЗНЕСА. ФОРМИРОВАНИЕ И ДВИЖЕНИЕ КАПИТАЛА ФИРМЫ