15.1. Финансовая система и фискальная политика
Финансовая система и финансовые отношения, первичные и вторичные финансы
Финансовая система — важная ^составляющая экономической системы.
Она представляет совокупность финансовых отношений и регулирующих их институтов, управляющих движением денежных средств; необходимых для жизнедеятельности национальной экономики.
Как правило, финансовые отношения складываются по поводу формирования и использования денежных средств для нужд национальной экономики.
Два названных потока определяют важнейшие направления финансовой политики в рамках национальной экономики.
Финансовая система включает: первичные, вторичные финансы.
Первичные финансы формируются на микроуровне. Они связаны с динамикой первичных доходов — их производством и распределением на уровне первичного (хозяйствующего) звена.
В результате, с одной стороны, формируются первичные доходы участников данного предпринимательского звена, с другой — часть денег в форме налогов с зарплаты и прибыли перечисляется в централизованные (государственные и региональные) финансовые структуры. Налоги — это обязательные платежи предприятий и населения, которые государство взимает с учетом величины первичных доходов.
Таким образом, на уровне первичного звена осуществляется двоякой направленности финансовая деятельность, включающая: 1) образование денежных средств и 2) их распределение на нужды участников данного процесса и государственные нужды.
На основе первичных формируются вторичные финансы.
Вторичные финансы концентрируют денежные средства, полученные из первичного звена главным образом в форме налогов. Имеют целью распределение и перераспределение доходов 5 с учетом интересов и особенностей национальной экономики.
Обобществленные финансы играют важную роль в росте государственного потребления, которое создает дополнительный спрос, расширяет внутренний рынок.
Динамику денежных средств в Российской Федерации координирует Министерство финансов Российской Федерации, обеспечивающее проведение единой финансовой, бюджетной, налоговой, валютной политики в РФ и координирующее деятельность в этой сфере иных федеральных органов исполнительной власти. Концентрация денежных средств и их перераспределение в соответствии с реализуемой политикой осуществляется через бюджеты трех уровней:
• первый уровень — федеральный бюджет и бюджеты государственных внебюджетных фондов;
• второй уровень — бюджеты субъектов Российской Федерации и бюджеты территориальных государственных внебюджетных фондов;
• третий уровень — местные бюджеты.
На федеральном уровне формируется государственный бюджет, выступающий основным финансовым балансом страны, определяющим не только источники доходов, но и направления использования централизованных финансов. Наряду с ним на соответствующих уровнях формируются бюджеты субъектов Федерации и местные бюджеты.
Контроль за проведением бюджетной политики, эффективным управлением доходами и расходами в процессе исполнения бюджета наряду со Счетной палатой осуществляет Федеральное казначейство Российской Федерации, сформированное согласно Указу Президента РФ от 8 декабря 1992 г. № 1556. Для усиления контроля за исполнением федерального бюджета оно взаимодействует с Банком России, Федеральной налоговой службой, иными федеральными органами исполнительной власти.
В 2002 г. дополнительно для контроля за финансовыми потоками создан Комитет РФ по финансовому мониторингу (КФМ)1, подотчетный Минфину России, имеющий целью противодействие легализации (отмыванию) доходов, полученных преступным путем.
Структура и объемы государственных финансов, их роль в воспроизводстве во многом зависят от государственной политики, действенности экономических рычагов и механизмов.
Возрастание регулирующей роли государства в ведущих западных странах привело к абсолютному увеличению объема финансовых ресурсов, которыми оно стало располагать. Если в начале столетия через государственные финансы западных стран перераспределялось 9-18% национального дохода, то начиная с 60-70-х гг. — 50% и более.
Финансовая политика
Финансовая политика является важнейшим рычагом, с помощью которого осуществляется государственное регулирование экономики. Ее важнейшими инструментами выступают:
• государственные расходы;
• налоги;
• сбалансированный бюджет.
Их динамика в конкретных условиях определяет особенности бюджетно-налоговой или фискальной политики, как правило, представляемой следующим образом:
Бюджетно-налоговая, или фискальная, политика - это меры правительства по формированию (изменению) государственных расходов, налогообложения и состояния государственного бюджета с целью обеспечения полной занятости и производства неинфляционного ВНП.
По воздействию на экономический процесс различают:
• стимулирующую бюджетно-налоговую политику;
• сдерживающую бюджетно-налоговую политику.
Их реализация предполагает использование следующих механизмов:
1) увеличения или сокращения государственных расходов;
2) снижения или роста налогов;
3)сочетания первого и второго.
1 В настоящее время Федеральная служба по финансовому мониторингу.
При этом в механизмах стимулирующей или сдерживающей бюджетно-налоговой политики они имеют противоположную направленность.
Стимулирующая, сдерживающая бюджетно-налоговая политика
Стимулирующая бюджетно-налоговая политика в коротком периоде имеет целью преодоление циклического спада экономики, при этом проводится политика экономического роста, связанная с увеличением государственных расходов, снижением налогов, обеспечивающих, с одной стороны — рост, с другой — сокращение спада производства. В долгом периоде происходит ориентация на снижение налогов, обусловливающая расширение предложения факторов производства, рост непосредственно производства.
Сдерживающая бюджетно-налоговая политика имеет целью ограничение циклических подъемов экономики, предполагает снижение государственных расходов, увеличение налогов и их различные комбинации. В коротком периоде эти меры могут снизить инфляцию спроса за счет роста безработицы и спада производства. В долгом — могут привести к спаду совокупного предложения, развертыванию механизма стагфляции. При этом затяжная стагфляция на базе неэффективного управления создает предпосылки для разрушения экономического потенциала.
По характеру осуществления различают:
• дискреционную фискальную политику;
• недискреционную фискальную политику.
Дискреционная фискальная политика
Дискреционная фискальная политика (лат. discrecio — действующий по своему усмотрению) означает сознательное манипулирование правительством расходами и налогами с целью изменения реального объема национального производства и занятости, контроля инфляции. При этом могут приниматься специальные решения правительства, направленные на изменение уровня занятости, объема производства, темпов инфляции.
При проведении дискреционной фискальной политики важен учет следующих, проверенных на практике функциональных зависимостей:
1. Рост государственных расходов увеличивает совокупный спрос (потребление и инвестиции). Вследствие этого увеличивается выпуск продукции и занятость трудоспособного населения. Государственные расходы влияют на совокупный спрос так же, как инвестиции (по Кейнсу — действуют как мультипликатор инвестиций).
2. Увеличение суммы налогов уменьшает личный располагаемый доход домашних хозяйств. При этом сокращается покупательский спрос, объем выпуска продукции и занятость рабочей силы. И наоборот — снижение налогов ведет к возрастанию покупательских расходов, выпуска продукции и занятости. Изменение налогов дает мультипликационный эффект. Между тем мультипликатор налогов меньше мультипликатора инвестиций и государственных расходов.
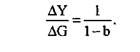
Мультипликационный процесс государственных расходов начинается с возрастания расходов AG, которые увеличивают доход на ту же самую величину, что дает прирост потребления b • AG (b< 1). Рост потребления вновь увеличивает расходы и доход, что вновь приводит к росту величины потребления — Ь2 • AG.
![]() |
| В результате наблюдается эффект мультипликатора государственных расходов |
![]() |
Совокупный эффект включает:
Его рост ограничивает налоговая ставка.
Существует предельная налоговая ставка, определяемая соотношением прироста суммы вносимого налога и прироста дохода:
Вместе с тем наиболее эффективной признается прогрессивная система налогообложения, являющаяся фактором ослабления эффекта мультипликатора и стабилизации уровней выпуска и занятости. Чем ниже ставка налогообложения, тем больше при прочих равных условиях эффект мультипликатора.
Аналогичное мультипликационное воздействие на равновесный уровень дохода оказывает снижение налогов.
Механизм налоговой мультипликации, как и государственных расходов, связан с многократной реакцией потребления на однократное изменение налогов. Здесь также проявляется цепная связь:
• снижение налогов увеличивает располагаемый доход;
• рост располагаемого дохода увеличивает потребление;
• рост потребления увеличивает совокупные расходы;
• рост совокупных расходов ^увеличивает совокупный доход и т. д.
При этом имеет место зависимость: если государственные расходы и автономные налоговые отчисления возрастают на одну и ту же величину, равновесный объем производства возрастает, имеет место сбалансированность бюджета, которая вместе с тем не исключает бюджетных дефицитов или излишков.
Мультипликатор сбалансированного бюджета не предполагает абсолютного исключения любых бюджетных дефицитов или излишков. Речь идет только о сбалансировании изменений в доходной и расходной частях бюджета, сохранении равенства
Мультипликационный эффект oт снижения налогов слабее, чем от увеличения государственный расходов, что объясняется более сильным воздействием государственных расходов на величины доходов и потребления. Это различие важно иметь в виду при определении инструментов фискальной политики. Если ориентир делается на расширение государственного сектора экономики для преодоления циклического спада - увеличение государственных расходов обеспечивает достаточно сильный эффект, если надо сдержать инфляционный подъем — в качестве мягкой ограничительной меры целесообразно увеличение налогов.
Если фискальная политика, наоборот, ориентирована на ограничение государственного сектора, в фазе спада снижаются налоги, а в фазе циклического подъема снижаются государственные расходы, что позволяет относительно быстро снизить уровень инфляции.
Недискреционная фискальная политика
Недискреционная фискальная политика, или политика автоматических (встроенных) стабилизаторов, ориентируется на механизм, без участия государства устраняющий неблагоприятные "проявления" делового цикла. При этом исключается необходимость частых изменений экономической политики правительств.
В качестве основных автоматических стабилизаторов выступают налоги, а также социальные выплаты. Их регулирующее воздействие на экономику неоднозначно.
Например, на фазе подъема растут доходы фирм и населения. При прогрессивной налоговой ставке увеличиваются налоги. Сокращается безработица. Улучшается благосостояние малообеспеченных. Как следствие, уменьшаются социальные расходы государства — на выплату пособий по безработице и иные социальные нужды. В итоге снижается совокупный спрос, сдерживается экономический рост.
На фазе кризиса налоговые поступления автоматически уменьшаются прежде всего за счет сокращения доходов фирм и домашних хозяйств. Растет безработица. Соответственно, увеличиваются выплаты социального характера, в том числе пособия по безработице и т. д., что стимулирует рост покупательной способности населения, способствует преодолению спада | экономики.
Таким образом, основными инструментами стабилизационной политики при недискреционной, так же как при дискреционной политике, выступают налоги и расходы государства, поскольку выплаты социального характера представляют государственные расходы.
Налоговая политика
Громадная роль налогов в финансовом регулировании макроэкономики требует обоснованной налоговой ставки, играю- , щей, как вполне очевидно, важную роль в экономике.
Практика западных стран ориентируется на различные ставки налогообложения:
• твердые (устанавливаемые на единицу объекта независимо от его стоимости или получаемого дохода);
• пропорциональные (следующие за ростом дохода, устанавливаемые в одинаковой пропорции к объекту налога, без дифференциации величины);
• прогрессивные (возрастающие в определенной пропорции по мере роста дохода);
• предельные (изменяющиеся в определенных пределах);
• регрессивные (снижающиеся при достижении определенного уровня или по мере роста дохода).
Многовариантность позволяет моделировать, применять наиболее эффективные в зависимости от времени и ситуации ставки налогообложения.
Западные исследователи считают более предпочтительными прогрессивные, чем предельные ставки налогообложения.
Вместе с тем достаточно однозначной оценки в отношении единой или дифференцированной ставки налогов нет. Уклонение от уплаты налогов значительной части юридических и физических лиц в России обусловило законодательство о единой, сравнительно невысокой ставке налогообложения — 13%. Время покажет эффективность принятой меры.
• Исследования показывают, что чрезвычайно высокие ставки налогов подрывают стимулы к труду. Непомерное возрастание налогового бремени в западных странах в 60-70-е гг. вызвало "налоговые бунты", широкое уклонение от налогов, способствовало "бегству" капиталов в страны с более низким уровнем налогообложения.
Кривая Лаффера
Группа американских исследователей во главе с Артуром Лаффером, изучающая проблему налогов и инвестиций, пришла к выводу, что повышение налогов сверх 50% уровня уменьшает интерес к инвестициям, приводит к сокращению поступлений в бюджет. С помощью кривой, которая по журналистской легенде впервые была начерчена на салфетке в ресторане, он изобразил зависимость между величиной ставки налога и объемом доходов, поступающих в бюджет (рис. 15Л).

С ростом ставки налога доходы бюджета растут, но лишь до определенной "переломной точки". По достижении 50%-ного уровня сумма поступлений в бюджет сокращается. Кривая изменяет направленность в противоположную сторону. При 100%-ной ставке налогов поступления в бюджет сокращаются до нуля. Кривая приобретает форму колокола.
Таким образом, появляется "замкнутый круг" между налогами и инвестициями, разорвать который целесообразно за счет снижения налогов, их дифференциации, создания налоговых стимулов для инвестирования.
В 70-е гг. получила резонанс выдвинутая неоконсерваторами теория предложения. Ее авторы установили, что рост налогов неблагоприятно влияет на динамику производства и доходов. Увеличение налогов за счет роста их ставок на определенном этапе не компенсирует сокращения поступлений в государственный бюджет из-за быстрого сужения налогооблагаемых доходов. Как правило, сопровождается сокращением общей суммы бюджетных доходов. В итоге — высокие налоги оказывают сдерживающее воздействие на предложение капитала, труда и сбережений.
Исходя из отмеченного, сконцентрировали внимание на определении оптимальных ставок налогообложения, установлении налоговых льгот. Снижение налогов рассматривалось ими в качестве средства, способного обеспечить долгосрочный экономический эффект и борьбу с инфляцией.
Представленные теоретические разработки способствовали подготовке налоговых реформ в США и в других странах, которые проводились в 80-90 гг.
С начала экономических реформ в России правительство сделало ориентир на чрезвычайно высокий уровень налогообложения. Федеральные и местные налоги и взносы в различные фонды практически поглощали всю прибыль, что отрицательно сказалось на состоянии национальной экономики и перспективах ее развития. Ответной реакцией явилось уклонение от уплаты налогов, развитие теневой экономики. В настоящее время правительству чрезвычайно сложно собрать средства в доходную часть государственного бюджета.
Теневая экономика и "лазейки" наносят серьезный ущерб формированию доходной части государственного бюджета.
В 2000 г. в России принят Налоговый кодекс РФ. Однако его принятие не решило проблемы выхода предприятий из тени.
В условиях экономического спада для нашей страны очень важно разработать такой уровень и систему налогообложения, которые бы выступили фактором, стимулирующим предпринимательство, развитие национальной экономики.
Совершенствование налогового законодательства и практики сбора налогов — важнейшая проблема современной государственной политики России.
Еще по теме 15.1. Финансовая система и фискальная политика:
- Тема 8. Налоги. Налоговая система и фискальная политика государства.
- Тема 11. Финансовая система и финансовая политика государства
- Лекция 19 Тема: ФИНАНСОВАЯ СИСТЕМА И ФИНАНСОВАЯ ПОЛИТИКА ГОСУДАРСТВА
- Глава XVI. Финансовая система и финансовая политика государства
- Глава 17. ФИНАНСОВАЯ СИСТЕМА И ФИНАНСОВАЯ ПОЛИТИКА
- 2. Инструменты фискальной политики. Мультипликатор государственных расходов и налогов
- 3. Взаимосвязь дискреционной политики и политики встроенных стабилизаторов. Финансовая политика в России
- Раздел IX. Государство в системе рыночных отношений Глава 22. Финансовая политика
- 1. Финансовая политика: дискреционная и автоматическая. Политика встроенных стабилизаторов и механизм автоматической стабилизации экономики
- 2.12.5. Финансовая политика
- Глава 15. Финансовая система и финансовое регулирование

